Skip to main content

Coronavirus: controlli, i dati del Viminale e della prefettura di Firenze, relativi al 20 marzo

ROMA – Ieri le Forze di polizia – indica il Viminale – hanno controllato 223.633 persone e 9.888 sono state denunciate. Gli esercizi commerciali controllati sono stati 91.129, denunciati 104 esercenti e sospesa l’attività di 19 esercizi commerciali. I 10mila denunciati in un giorno sono un record dall’avvio dei controlli, l’11 marzo. Salgono così a 1.650.644 le persone controllate dall’11 al 20 marzo: 70.973 quelle denunciate per mancato rispetto degli ordini dell’autorità, 1.600 per attestazioni false; 834.661 gli esercizi commerciali controllati e 1.977 i titolari denunciati.

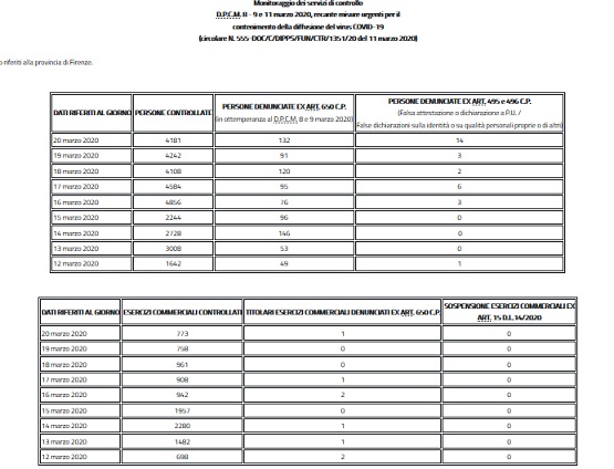
FIRENZE – Il 20 marzo questi sono i dati pubblicati sul sito della prefettura di Firenze. Il 20 marzo sono state 4.181  le persone controllate, 132 quelle denunciate. Per quanto riguarda gli esecizi commerciali,  773 controlli e 1 denuncia.

 


Paolo Padoin

Già Prefetto di Firenze Mail

Firenze Post è una testata on line edita da C.A.T. - Confesercenti Toscana S.R.L.
Registro Operatori della Comunicazione n° 39741
Firenzepost small logo