
Coronavirus, controlli: i dati del Viminale e della prefettura di Firenze al 23 marzo
ROMA – Ieri le Forze di polizia hanno controllato, in applicazione delle misure di contenimento del contagio, 228.550 persone e 9.949 sono state denunciate. Gli esercizi commerciali controllati sono stati 87.558, denunciati 103 esercenti e sospesa l’attività di 25 esercizi. Salgono così – indica il Viminale – a 2.244.868 le persone controllate dall’11 al 23 marzo, 102.316 quelle denunciate per inadempienza ad ordini dell’Autorità, 2.348 per false dichiarazioni a pubblico ufficiale, 1.061.357 gli esercizi commerciali controllati e 2.380 i titolari denunciati.
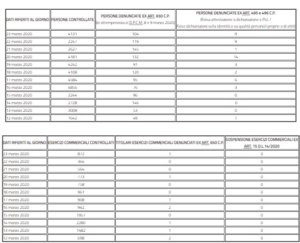
Firenze – Nel territorio della città metropolitana il 23 marzo sono state 4.131 le persone controllate, quasi il doppio del giorno prima, le persone denunciate 104, gli esercizi commerciali controllati 872, uno solo denunciato. Si conferma lo scrupolo e il rispetto delle regole da parte dei cittadini, nonostante le invettive del Sindaco. Ecco la tabella riassuntiva pubblicata sul sito della Prefettura.

