Skip to main content

Coronavirus controlli: i dati del Viminale e della prefettura di Firenze

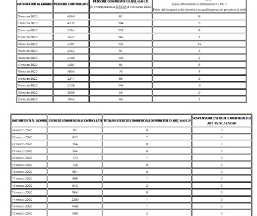
ROMA – Sono 228.057 le persone controllate e oltre 8mila quelle denunciate dalle forze di polizia secondo i dati diffusi dal Viminale e relativi alla giornata di ieri. In particolare,sono 8.310 le persone denunciate ex art. 650 cp per violazione delle misure di contenimento del contagio e 128 quelle denunciate per false dichiarazioni. I negozi controllati sono stati invece quasi 90mila (89.845): 126 i titolari denunciati, mentre per 13 attività è scattata la sospensione.

FIRENZE – alla data del 24 marzo nella provincia di Firenze si contano 4049 persone controllate, 87 denunciate, mentre è crollato il numero desgli esercizi commerciali controllati, 85 rispetto agli 872 del giorno prima, e naturalmente 0 sanzioni. Non sono stati aumentati i controlli, ma ci si accanisce più sui cittadini che sugli esercizi commerciali.

 


Paolo Padoin

Già Prefetto di Firenze Mail

Firenze Post è una testata on line edita da C.A.T. - Confesercenti Toscana S.R.L.
Registro Operatori della Comunicazione n° 39741
Firenzepost small logo